Lompat ke konten Lompat ke sidebar Lompat ke footer

Kerangka Cerpen - Tentukan Tema Karangan Dan Kerangka Cerita Nya Brainly Co Id : Buatlah kerangka cerpen dengan tema hiburan !.

Kerangka Cerpen - Tentukan Tema Karangan Dan Kerangka Cerita Nya Brainly Co Id : Buatlah kerangka cerpen dengan tema hiburan !.. Kerangka karangan adalah rencana pembagian dan penyusunan gagasan. Bentuk karangan seperti ini banyak di jumpai dalam berbagai betuk karangan, misalnya novel, cerpen , laporan atau berita. Tidak ada yang bisa mengalahkan pengalaman setelah membaca sebuah cerpen yang bagus. Observasi, pada tahapan observasi adalah langkah awal pada penulisan sebuah cerpen yang dilakukan secara langsung. Biarlah kita terus bersama sampai ajal memisahkan kita.

Adapun kerangka dari struktur cerita pendek secara terurut antara lain adalah: Padakesempatan kali ini saya mau share tentang contoh karangan cerpen. Kerangka cerpen kembali akan menjadi tema tulisan kita kali ini. Contoh kerangka tahapan alur cerpen. Berdasarkan kerangka cerpen yang telah kamu rancang, peserta didik menyusun cerpen dengan memperhatika n struktur dan aspek kebahasaan cerpen.

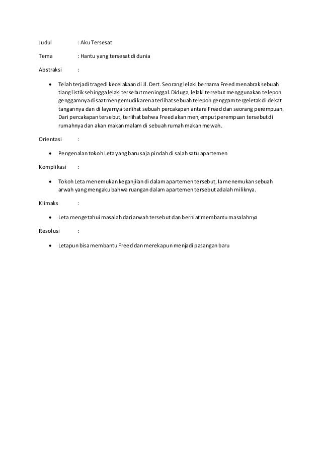
Kerangka Cerpen Iis
Kerangka Cerpen Iis from imgv2-1-f.scribdassets.com
Contoh kerangka tahapan alur cerpen. Dengan tema kekalahan ini, agar anak yang pandai dalam lomba nyanyi, yang mempunyai suara bagus, supaya tidak takut akan kalah. Cerpen adalah sebuah singkatan dari cerita pendek. Didalam kerangka atau struktur evaluasi ini dapat menentukan menarik tidaknya suatu cerita yang akhirnya bisa mempengaruhi pembaca. Bentuk karangan seperti ini banyak di jumpai dalam berbagai betuk karangan, misalnya novel, cerpen , laporan atau berita. Buatlah kerangka cerpen dengan tema hiburan !. 87%(15)87% found this document useful (15 votes). Kerangka karangan adalah garis besar sebuah cerita yang ditulis secara terstruktur agar pengarang tetap berpegang pada ide atau gagasan awal.

Kerangka karangan adalah rencana pembagian dan penyusunan gagasan.

Contoh kerangka tahapan alur cerpen. Berdasarkan kerangka cerpen yang telah kamu rancang, peserta didik menyusun cerpen dengan memperhatika n struktur dan aspek kebahasaan cerpen. 13 februari 201812 februari 2018 lisa. Contoh kerangka karangan cerpen, ada yang tau nggak?? Selain itu, kerangka karangan juga berfungsi untuk mencegah penulis keluar dari topik pembahasannya, sehingga karangan mereka akan menjadi karangan yang baik dan tidak berbelit. Kerangka cerpen kembali akan menjadi tema tulisan kita kali ini. Observasi, pada tahapan observasi adalah langkah awal pada penulisan sebuah cerpen yang dilakukan secara langsung. Kerangka dan cara penulisan cerpen. Dengan tema kekalahan ini, agar anak yang pandai dalam lomba nyanyi, yang mempunyai suara bagus, supaya tidak takut akan kalah. Buatlah kerangka cerpen dengan tema hiburan !. Kerangka karangan adalah garis besar sebuah cerita yang ditulis secara terstruktur agar pengarang tetap berpegang pada ide atau gagasan awal. Terjawab • terverifikasi oleh ahli. Fatimah adalah seorang anak dari keluarga kuli penambang timah yang miskin.

Kerangka karangan yang akan kita bahas kali ini adalah kerangka cerpen dimana para penulis pemula lebih pd untuk menulis cerpen. Adapun kerangka dari struktur cerita pendek secara terurut antara lain adalah: Urutan peristiwa dalam penyajian cerpen. Observasi, pada tahapan observasi adalah langkah awal pada penulisan sebuah cerpen yang dilakukan secara langsung. Selain itu, kerangka karangan juga berfungsi untuk mencegah penulis keluar dari topik pembahasannya, sehingga karangan mereka akan menjadi karangan yang baik dan tidak berbelit.

18 Pengertian Naskah Cerpen
18 Pengertian Naskah Cerpen from i2.wp.com
Kerangka karangan yang akan kita bahas kali ini adalah kerangka cerpen dimana para penulis pemula lebih pd untuk menulis cerpen. Nona ayu fameliya, ayu prasetya ayu fameliya tahukah anda jawaban yang benar? Kerangka karangan adalah rencana pembagian dan penyusunan gagasan. Berikut ini adalah beberapa kerangka sebuah cerpen, antara lain adalah : Adapun kerangka dari struktur cerita pendek secara terurut antara lain adalah: Contoh kerangka karangan cerpen, ada yang tau nggak?? Kerangka cerpen tersebut digunakan untuk mempermudah siswa pada saat membuat cerpen. Observasi, pada tahapan observasi adalah langkah awal pada penulisan sebuah cerpen yang dilakukan secara langsung.

Nona ayu fameliya, ayu prasetya ayu fameliya tahukah anda jawaban yang benar?

Buatlah kerangka cerpen dengan tema hiburan !. Contoh kerangka karangan cerpen, ada yang tau nggak?? Kerangka karangan adalah rencana teratur tentang pembagian dan penyusunan gagasan. Kerangka dan cara penulisan cerpen. 13 februari 201812 februari 2018 lisa. Berikut ini adalah beberapa kerangka sebuah cerpen, antara lain adalah : Dengan tema kekalahan ini, agar anak yang pandai dalam lomba nyanyi, yang mempunyai suara bagus, supaya tidak takut akan kalah. Didalam kerangka atau struktur evaluasi ini dapat menentukan menarik tidaknya suatu cerita yang akhirnya bisa mempengaruhi pembaca. Urutan peristiwa dan alur cerita. Bentuk karangan seperti ini banyak di jumpai dalam berbagai betuk karangan, misalnya novel, cerpen , laporan atau berita. Sebuah cerpen tidak dapat ditulis sesuai dengan demikianlah kerangka sekaligus tahapan dalam penulisan sebuah cerpen. Urutan peristiwa dalam penyajian cerpen. Biarlah kita terus bersama sampai ajal memisahkan kita.

Kerangka karangan yang akan kita bahas kali ini adalah kerangka cerpen dimana para penulis pemula lebih pd untuk menulis cerpen. Sebuah cerpen tidak dapat ditulis sesuai dengan demikianlah kerangka sekaligus tahapan dalam penulisan sebuah cerpen. Kerangka cerpen kembali akan menjadi tema tulisan kita kali ini. 87%(15)87% found this document useful (15 votes). Struktur cerpen ini berguna sebagai elemen yang akan membuat cerita menjadi terbentuk dan hidup.

Kerangka Cerpen Iis Docx
Kerangka Cerpen Iis Docx from demo.pdfslide.tips
Adapun kerangka dari struktur cerita pendek secara terurut antara lain adalah: Tidak ada yang bisa mengalahkan pengalaman setelah membaca sebuah cerpen yang bagus. Buatlah kerangka cerpen dengan tema hiburan !. Observasi, pada tahapan observasi adalah langkah awal pada penulisan sebuah cerpen yang dilakukan secara langsung. Struktur cerpen ini berguna sebagai elemen yang akan membuat cerita menjadi terbentuk dan hidup. Savesave kerangka cerpen for later. Kerangka karangan yang akan kita bahas kali ini adalah kerangka cerpen dimana para penulis pemula lebih pd untuk menulis cerpen. Contoh kerangka karangan cerpen, ada yang tau nggak??

Buatlah kerangka cerpen dengan tema hiburan !.

Urutan peristiwa dan alur cerita. Bentuk karangan seperti ini banyak di jumpai dalam berbagai betuk karangan, misalnya novel, cerpen , laporan atau berita. Berikut ini adalah beberapa kerangka sebuah cerpen, antara lain adalah : Padakesempatan kali ini saya mau share tentang contoh karangan cerpen. Struktur cerpen ini berguna sebagai elemen yang akan membuat cerita menjadi terbentuk dan hidup. Fatimah adalah seorang anak dari keluarga kuli penambang timah yang miskin. Kerangka dan cara penulisan cerpen. Cerpen merupakan salah satu sarana penyampaian gagasan dalam kehidupan. Tidak ada yang bisa mengalahkan pengalaman setelah membaca sebuah cerpen yang bagus. Berdasarkan kerangka cerpen yang telah kamu rancang, peserta didik menyusun cerpen dengan memperhatika n struktur dan aspek kebahasaan cerpen. Dengan tema kekalahan ini, agar anak yang pandai dalam lomba nyanyi, yang mempunyai suara bagus, supaya tidak takut akan kalah. 13 februari 201812 februari 2018 lisa. Savesave kerangka cerpen for later.

Posting Komentar untuk "Kerangka Cerpen - Tentukan Tema Karangan Dan Kerangka Cerita Nya Brainly Co Id : Buatlah kerangka cerpen dengan tema hiburan !."